A Computerized Spin Balance Machine Rotates 79+ Pages Explanation [1.35mb] - Updated
26+ pages a computerized spin balance machine rotates 2.1mb answer in Doc format . A Find The Road Speed in Miles Per Hour At Which The Tire Is Being Balanced. 23A computerized spin balance machine rotates a 35-inch-diameter tire at 400 revolutions per minute. 8 22 2021. Check also: balance and a computerized spin balance machine rotates 13Please helpa computerized spin balance machine rotates a 25 inch diameter tire at 480 revolutions per minute.
B At what rate should the spin balance machine be set so that the tire is. ProScore EZ Install Turbines after assembly are placed in our computerized dynamic balancing machine that measures how off the assembly rotates.

Solved Angular Speed A Puterized S Balance Machine Rotates A 25 Inch Diameter Tire At 480 Revolutions Per Minute
| Title: Solved Angular Speed A Puterized S Balance Machine Rotates A 25 Inch Diameter Tire At 480 Revolutions Per Minute A Computerized Spin Balance Machine Rotates |
| Format: Google Sheet |
| Number of Views: 8161+ times |
| Number of Pages: 10+ pages about A Computerized Spin Balance Machine Rotates |
| Publication Date: April 2021 |
| Document Size: 2.3mb |
| Read Solved Angular Speed A Puterized S Balance Machine Rotates A 25 Inch Diameter Tire At 480 Revolutions Per Minute |
Html .
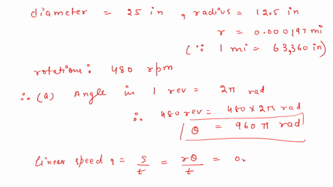
A Find the road speed in miles per hour at which the tire is being balanced. Linear and Angular Speed A computerized spin balance machine rotates a 25-inch-diameter tire at 480 revolutions per minute. Balancing involves putting the wheeltire assembly on a balancer which centers the wheel and spins it to determine where the weights should go. Find the road speed in miles per hour at which the tire is being balanced. 8 22 2021. Round your answer to two decimal places.

Solved Angular Speed A Puterized S Balance Machine Rotates A 25 Inch Diameter Tire At 480 Revolutions Per Minute
| Title: Solved Angular Speed A Puterized S Balance Machine Rotates A 25 Inch Diameter Tire At 480 Revolutions Per Minute A Computerized Spin Balance Machine Rotates |
| Format: PDF |
| Number of Views: 7142+ times |
| Number of Pages: 294+ pages about A Computerized Spin Balance Machine Rotates |
| Publication Date: April 2020 |
| Document Size: 1.6mb |
| Read Solved Angular Speed A Puterized S Balance Machine Rotates A 25 Inch Diameter Tire At 480 Revolutions Per Minute |

Gsp9200 Puterized Lcd Wheel Balancer Madhus Garage
| Title: Gsp9200 Puterized Lcd Wheel Balancer Madhus Garage A Computerized Spin Balance Machine Rotates |
| Format: PDF |
| Number of Views: 3040+ times |
| Number of Pages: 309+ pages about A Computerized Spin Balance Machine Rotates |
| Publication Date: August 2018 |
| Document Size: 2.8mb |
| Read Gsp9200 Puterized Lcd Wheel Balancer Madhus Garage |

Angular Speed A Puterized S Balance Machine Chegg
| Title: Angular Speed A Puterized S Balance Machine Chegg A Computerized Spin Balance Machine Rotates |
| Format: PDF |
| Number of Views: 9146+ times |
| Number of Pages: 261+ pages about A Computerized Spin Balance Machine Rotates |
| Publication Date: March 2019 |
| Document Size: 810kb |
| Read Angular Speed A Puterized S Balance Machine Chegg |
Vehicle Vibrations Tire And Wheel Shakes
| Title: Vehicle Vibrations Tire And Wheel Shakes A Computerized Spin Balance Machine Rotates |
| Format: Google Sheet |
| Number of Views: 5151+ times |
| Number of Pages: 199+ pages about A Computerized Spin Balance Machine Rotates |
| Publication Date: August 2020 |
| Document Size: 6mb |
| Read Vehicle Vibrations Tire And Wheel Shakes |

Solved Angular Speed A Puterized S Balance Machine Rotates A 25 Inch Diameter Tire At 480 Revolutions Per Minute
| Title: Solved Angular Speed A Puterized S Balance Machine Rotates A 25 Inch Diameter Tire At 480 Revolutions Per Minute A Computerized Spin Balance Machine Rotates |
| Format: Doc |
| Number of Views: 3020+ times |
| Number of Pages: 349+ pages about A Computerized Spin Balance Machine Rotates |
| Publication Date: December 2020 |
| Document Size: 2.1mb |
| Read Solved Angular Speed A Puterized S Balance Machine Rotates A 25 Inch Diameter Tire At 480 Revolutions Per Minute |

Solved Angular Speed A Puterized S Balance Machine Rotates A 25 Inch Diameter Tire At 480 Revolutions Per Minute
| Title: Solved Angular Speed A Puterized S Balance Machine Rotates A 25 Inch Diameter Tire At 480 Revolutions Per Minute A Computerized Spin Balance Machine Rotates |
| Format: Google Sheet |
| Number of Views: 8161+ times |
| Number of Pages: 271+ pages about A Computerized Spin Balance Machine Rotates |
| Publication Date: August 2021 |
| Document Size: 1.5mb |
| Read Solved Angular Speed A Puterized S Balance Machine Rotates A 25 Inch Diameter Tire At 480 Revolutions Per Minute |
A Puterized S Balance Machine Rotates A Chegg
| Title: A Puterized S Balance Machine Rotates A Chegg A Computerized Spin Balance Machine Rotates |
| Format: PDF |
| Number of Views: 3170+ times |
| Number of Pages: 302+ pages about A Computerized Spin Balance Machine Rotates |
| Publication Date: September 2018 |
| Document Size: 2.1mb |
| Read A Puterized S Balance Machine Rotates A Chegg |

Solved Angular Speed A Puterized S Balance Machine Rotates A 25 Inch Diameter Tire At 480 Revolutions Per Minute
| Title: Solved Angular Speed A Puterized S Balance Machine Rotates A 25 Inch Diameter Tire At 480 Revolutions Per Minute A Computerized Spin Balance Machine Rotates |
| Format: Google Sheet |
| Number of Views: 8203+ times |
| Number of Pages: 265+ pages about A Computerized Spin Balance Machine Rotates |
| Publication Date: March 2020 |
| Document Size: 1.9mb |
| Read Solved Angular Speed A Puterized S Balance Machine Rotates A 25 Inch Diameter Tire At 480 Revolutions Per Minute |

Town Fair Tire Puterized Wheel Balancing
| Title: Town Fair Tire Puterized Wheel Balancing A Computerized Spin Balance Machine Rotates |
| Format: Doc |
| Number of Views: 3166+ times |
| Number of Pages: 200+ pages about A Computerized Spin Balance Machine Rotates |
| Publication Date: April 2021 |
| Document Size: 1.7mb |
| Read Town Fair Tire Puterized Wheel Balancing |

Lwpvepuzhwtnzm
| Title: Lwpvepuzhwtnzm A Computerized Spin Balance Machine Rotates |
| Format: Doc |
| Number of Views: 8147+ times |
| Number of Pages: 140+ pages about A Computerized Spin Balance Machine Rotates |
| Publication Date: July 2020 |
| Document Size: 725kb |
| Read Lwpvepuzhwtnzm |

Eewb330a Hands Wheel Balancer Snap Manualzz
| Title: Eewb330a Hands Wheel Balancer Snap Manualzz A Computerized Spin Balance Machine Rotates |
| Format: PDF |
| Number of Views: 8175+ times |
| Number of Pages: 196+ pages about A Computerized Spin Balance Machine Rotates |
| Publication Date: February 2017 |
| Document Size: 2.2mb |
| Read Eewb330a Hands Wheel Balancer Snap Manualzz |
25Angular Speed A computerized spin balance machine rotates a 25-inch diameter tire at 480 revolutions per minute. A Find the road speed in miles per hour at which the tire is being balanced. Balancing involves putting the wheeltire assembly on a balancer which centers the wheel and spins it to determine where the weights should go.
Here is all you have to to know about a computerized spin balance machine rotates Linear and Angular Speed A computerized spin balance machine rotates a 25-inch-diameter tire at 480 revolutions per minute. As an impeller sits on a autochuck and spins it will undoubtedly rotate slightly off balance. Dbs central branch code What. Solved angular speed a puterized s balance machine rotates a 25 inch diameter tire at 480 revolutions per minute s claytonschools cms lib mo01000419 centricity domain 204 10 22probdaysolution pdf a puterized s balance machine rotates a chegg solved angular speed a puterized s balance machine rotates a 25 inch diameter tire at 480 revolutions per minute town fair tire puterized wheel balancing eewb330a hands wheel balancer snap manualzz gsp9200 puterized lcd wheel balancer madhus garage vehicle vibrations tire and wheel shakes Round your answer to two decimal places.
Comments
Post a Comment